Долговечность геотехнических решеток.
ДОЛГОВЕЧНОСТЬ ОБЪЕМНЫХ ГЕОРЕШЕТОК В КОНСТРУКЦИЯХ ЛЕСНЫХ ДОРОГ.
Calculation of durability of a solid geolattice in a design of forest road is resalted. Two groups of factors on which service life of a geosynthetic material depends are allocated. As parameter for an estimation of durability of a solid geolattice activation energy thermal-oxidative degradation polymer is accepted. The exploitation factors influencing value of activation energy of polymer and durability of a solid geolattice are marked.
Введение. Использование геосинтетических материалов в качестве элемента усиления конструкций лесных дорог все шире внедряется в практику дорожного строительства. Поэтому наряду с прогнозированием сроков службы конструкции на основе свойств дорожно-строительных материалов большое значение имеет расчет долговечности геосинтетических материалов строительного назначения.
Долговечность полимерных материалов, и в частности объемной георешетки, определяется двумя основными группами факторов:
- свойства исходного полимера – надлежащее качество сырья и правильный подбор материала с учетом требований к конструкции георешетки;
- условия эксплуатации – тепло, кислород, вода, УФ-излучение, химические среды, механические нагрузки.
В качестве параметра, связанного с химическим строением, составом и структурой полимерного материала и одновременно со временем потери работоспособности георешетки под воздействием комплекса эксплуатационных факторов, теоретически и экспериментально обосновано использование эффективной энергии активации термоокислительной деструкции полимера Ед.
Энергия активации Ед – избыток энергии (потенциальный барьер), необходимый для разрушения химических связей, образующих основную цепь полимера.
1. Определение энергии активации. Определение долговечности осуществляется по методике, изложенной в СТБ 1333.0 – 2002. Этот стандарт распространяется на полимерные изделия для строительства и устанавливает метод определения их долговечности расчетным путем по экспериментально определенному значению энергии активации термоокислительной деструкции (далее – энергии активации) материала георешетки.
Метод определения долговечности основан на взаимосвязи между долговечностью полимерного материала георешетки и значением энергии активации, определяющей качество материала и уменьшающейся под воздействием эксплуатационных факторов эксплуатационных факторов.
Значение энергии активации определяют расчетным путем по потере массы навески материала георешетки от воздействия температуры при нагревании с заданной скоростью в определенном интервале температур на специальном приборе (дериватографе).
Навески испытуемого и эталонного материалов массой по 200±1 мг помещают в керамические тигли (их предварительно прокаливают при температуре 600°С в течение 1 часа, а потом выдерживают при комнатной температуре в течение 2 часов) и затем взвешивают.
Далее тигли с испытуемым и эталонным материалами устанавливают в дериватограф и нагревают навеску до температуры 500°С. Одновременно производят запись специального графика (дериватограммы).
На полученной дериватограмме отмечают значение потери массы навески (Δm) в процентах с точностью до 0,1% с шагом 10°С в интервале температур 350 – 410°С для полиэфира.
Вычисляют значение двойного логарифма ln[ln(100/(100 – Δm))] для каждой температуры и строят график прямолинейной зависимости ln[ln(100/(100 – Δm))] от обратной температуры Тд, применяя аппроксимацию по методу наименьших квадратов.
При этом на оси абсцисс откладывают величины (103/Тд), где Тд – значения температуры, К, при испытании, а на оси ординат – величины ln[ln(100/(100 – Δm))].
Вычисляют с точностью до 0,1 тангенс угла наклона φ построенной прямой линии к оси ординат. Определяют значение энергии активации Ед, кДж/моль, по формуле:

где R – универсальная газовая постоянная, R = 8,31·103
кДж/(моль·К).
В ходе исследований была испытана объемная георешетка «Комета» из полиэфирного иглопробивного полотна, для которой график по определению Ед показан на рис.1.

Рис.1. Определение энергии активации Ед для георешетки «Комета» из полиэфира.
Поскольку накопление во времени разрывов химических связей есть процесс старения полимера, параметр Ед связан с долговечностью георешетки экспоненциальной зависимостью:
где τtэ – расчетная долговечность георешетки в годах при конкретном значении температуры эксплуатации (температуры грунта) tэ, К; m – коэффициент перевода долговечности в годы, m = 365; α и β – коэффициенты, постоянные для данного класса полимеров, для полиэфира α = -0,1661, β = +2,590.
С учетом эксплуатационных факторов:
где Емв – снижение энергии межмолекулярных взаимодействий на границе «георешетка – грунт» за счет эффекта Ребиндера, кДж/моль; ЕрН – снижение энергии активации за счет кислотности грунта, кДж/моль; γ – структурно-чувствительный коэффициент, для шва, как самого слабого элемента георешетки, равный 53,75 кДж/(моль·МПа); σст - напряжение в стенке ячейки геотехнической решетки, вызываемое механическими нагрузками, МПа.
Произведение γ·σст представляет собой долю энергии, на которую механические напряжения, возникающие в материале, понижают потенциальный барьер разрыва химических связей полимера Ед.
Расчетная долговечность георешетки в годах τобщ при переменных значениях температуры зксплуатации tэ определяется по формуле:
где mi – число часов взаимодействия грунта со среднемесячной температурой tэ; mi sum – общее число часов взаимодействия грунта с переменными значениями tэ.
2. Пример расчета. Строительство лесной дороги с использованием георешетки «Комета» высотой 0,1 м на территории Трилесинского лесничества Сморгонского опытного лесхоза было завершено в ноябре 2005 года. Дорожная конструкция состоит из земляного полотна высотой в среднем 0,5 м и армированной георешеткой дорожной одежды из песчано-гравийной смеси толщиной 0,18 м.
При определении долговечности георешетки необходимо учесть эксплуатационные факторы, снижающие энергию активации материала георешетки и, тем самым, ее долговечность. К таким факторам относятся:
I. Воздействие жидкой фазы грунта выражается в эффекте адсорбционного понижения прочности полимера (эффекте Ребиндера), который означает облегчение деформации и разрушения твердого тела в результате протекания на его свободной поверхности обратимых физико-химических процессов, приводящих к понижению поверхностной энергии тела. Показатель Емв составляет 59 кДж/моль.
II. Кислотность грунтового массива. Преобладающие почвы в районе строительства дерново-подзолистые и дерново-подзолистые заболоченные, для таких почв показатель кислотности составляет по всему профилю рН = 3,6 – 5,5, а параметр ЕрН равен 8 кДж/моль.
III. Механические нагрузки:
а) статические нагрузки от собственного веса грунта определяются по формулам:
где γ0 – объемная масса грунта, равная для песчано-гравийной смеси 2,0 г/см3; z – глубина заложения георешетки (по ее верхнему краю), z = 0,08 м; ξ0 = μ0/(1 – μ0) – коэффициент бокового давления грунта в состоянии покоя; μ0 – коэффициент относительной поперечной деформации, аналогичный коэффициенту Пуассона, μ0 = 0,3;
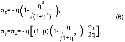
б) дорожная конструкция воспринимает нагрузки от движущихся транспортных средств через упругие шины в очень короткое время – 0,1 с. В расчетах примем, что нагрузка воздействует постоянно и величина ее определяется по следующим зависимостям:
где q – расчетное давление, МПа; η = z/a, а – радиус круга, эквивалентного по площади отпечатку колеса, м. При вычислениях принята нагрузка с параметрами q = 0,6 МПа, а = 0,185 м расчетного автомобиля группы А.
Расчетами установлено, что величина суммарного воздействия статических и динамических нагрузок составляет σz = 0,565 МПа по оси Z и σy = 0,190 МПа по оси Y. Расчетное значение механических нагрузок σст принимается равным сумме σz и σy, т. е. 0,755 МПа.
Тогда произведение γ·σст будет составлять 53,75 · 0,755 = 40,6 кДж/моль.
В результате получим, что итоговое значение энергии активации Ед с учетом Емв, ЕрН и γ·σст составит 91,8 кДж/моль.
IV. Температура грунта дорожной одежды определяется по формуле:

где tair – температура воздуха, °С; tsoi – температура грунта на нижней границе системы «одежда – полотно», °С. Принимаем значения tsoi на глубине 0,8 м (поскольку общая высота дорожной конструкции составляет 0,7 м) и tair по каждому месяцу; Rsur – сопротивление теплопереходу покрытия, м2 · °С/Вт, принимаемое в расчетах в зависимости от скорости ветра, м/с. Значения скорости ветра по месяцам колеблются в пределах 2,6 – 3,7 м/с, а значения Rsur соответственно от 0,0765 до 0,084 м2 · °С/Вт; Rtot – общее тепловое сопротивление дорожной конструкции, м2 · °С/Вт.

где Rsc – тепловое сопротивление одежды,

где hi – толщина слоев одежды с коэффициентом теплопроводности λi, hi = 0,18 м. Для песчано-гравийной смеси λi = 2,61 Вт/(м · °С). Тогда Rsc = 0,069 м2 · °С/Вт; Rrb – тепловое сопротивление земляного полотна,

где hsi – толщина слоя грунта с коэффициентом теплопроводности λsi, на нижней границе которого принята температура tsoi. Поскольку промерзание грунта в лесу составляет 15 – 20 см, то значение λsi = 2,32 Вт/(м ·°С) примем для талого грунта. Тогда Rrb = 0.216 м2 ·°С/Вт;
– суммарное тепловое сопротивление слоев дорожной конструкции, расположенных выше плоскости, в которой определяется температура грунта. На расстоянии 0,08 м от верха покрытия и до начала георешетки его величина составляет 0,031 м2 ·°С/Вт.
Значения Rtot в зависимости от месяца колеблются в интервале 0,3615 – 0,3690 м2 ·°С/Вт.
Сведем данные по расчету tэ в табл.1.
Значения tair, tsoi и tэ по месяцам, °С.
Расчет долговечности георешетки «Комета» при конкретных значениях tэ покажем в виде табл.2
Общая долговечность георешетки в конструкции лесной дороги, рассчитанная по формуле (4) на основе данных табл. 2, составит τобщ ≈ 54 года.
Заключение. Большая долговечность объемной георешетки «Комета» из полиэфира обусловлена:
1) химической природой полимера, высокой устойчивостью его химических связей к внешним воздействиям;
2) отсутствием УФ-излучения – самого опасного разрушающего фактора;
3) низкими температурами эксплуатации, а значительный период времени вообще отрицательными, когда полимер находится в «законсервированном» состоянии;
4) относительно небольшими механическими нагрузками.
Описанный выше способ позволяет определить долговечность в дорожной конструкции не только объемной георешетки, но и любого другого класса геосинтетических материалов, применяемых при строительстве лесных дорог. При этом методика расчета дает возможность комплексно учесть все основные эксплуатационные факторы, воздействию которых подвергается полимерный материал.
С. В. Красковский, аспирант.
Н. Р. Прокопчук, профессор.
Долговечность полимерных материалов, и в частности объемной георешетки, определяется двумя основными группами факторов:
- свойства исходного полимера – надлежащее качество сырья и правильный подбор материала с учетом требований к конструкции георешетки;
- условия эксплуатации – тепло, кислород, вода, УФ-излучение, химические среды, механические нагрузки.
В качестве параметра, связанного с химическим строением, составом и структурой полимерного материала и одновременно со временем потери работоспособности георешетки под воздействием комплекса эксплуатационных факторов, теоретически и экспериментально обосновано использование эффективной энергии активации термоокислительной деструкции полимера Ед.
Энергия активации Ед – избыток энергии (потенциальный барьер), необходимый для разрушения химических связей, образующих основную цепь полимера.
1. Определение энергии активации. Определение долговечности осуществляется по методике, изложенной в СТБ 1333.0 – 2002. Этот стандарт распространяется на полимерные изделия для строительства и устанавливает метод определения их долговечности расчетным путем по экспериментально определенному значению энергии активации термоокислительной деструкции (далее – энергии активации) материала георешетки.
Метод определения долговечности основан на взаимосвязи между долговечностью полимерного материала георешетки и значением энергии активации, определяющей качество материала и уменьшающейся под воздействием эксплуатационных факторов эксплуатационных факторов.
Значение энергии активации определяют расчетным путем по потере массы навески материала георешетки от воздействия температуры при нагревании с заданной скоростью в определенном интервале температур на специальном приборе (дериватографе).
Навески испытуемого и эталонного материалов массой по 200±1 мг помещают в керамические тигли (их предварительно прокаливают при температуре 600°С в течение 1 часа, а потом выдерживают при комнатной температуре в течение 2 часов) и затем взвешивают.
Далее тигли с испытуемым и эталонным материалами устанавливают в дериватограф и нагревают навеску до температуры 500°С. Одновременно производят запись специального графика (дериватограммы).
На полученной дериватограмме отмечают значение потери массы навески (Δm) в процентах с точностью до 0,1% с шагом 10°С в интервале температур 350 – 410°С для полиэфира.
Вычисляют значение двойного логарифма ln[ln(100/(100 – Δm))] для каждой температуры и строят график прямолинейной зависимости ln[ln(100/(100 – Δm))] от обратной температуры Тд, применяя аппроксимацию по методу наименьших квадратов.
При этом на оси абсцисс откладывают величины (103/Тд), где Тд – значения температуры, К, при испытании, а на оси ординат – величины ln[ln(100/(100 – Δm))].
Вычисляют с точностью до 0,1 тангенс угла наклона φ построенной прямой линии к оси ординат. Определяют значение энергии активации Ед, кДж/моль, по формуле:

где R – универсальная газовая постоянная, R = 8,31·103
В ходе исследований была испытана объемная георешетка «Комета» из полиэфирного иглопробивного полотна, для которой график по определению Ед показан на рис.1.

Рис.1. Определение энергии активации Ед для георешетки «Комета» из полиэфира.
Поскольку накопление во времени разрывов химических связей есть процесс старения полимера, параметр Ед связан с долговечностью георешетки экспоненциальной зависимостью:

где τtэ – расчетная долговечность георешетки в годах при конкретном значении температуры эксплуатации (температуры грунта) tэ, К; m – коэффициент перевода долговечности в годы, m = 365; α и β – коэффициенты, постоянные для данного класса полимеров, для полиэфира α = -0,1661, β = +2,590.
С учетом эксплуатационных факторов:

где Емв – снижение энергии межмолекулярных взаимодействий на границе «георешетка – грунт» за счет эффекта Ребиндера, кДж/моль; ЕрН – снижение энергии активации за счет кислотности грунта, кДж/моль; γ – структурно-чувствительный коэффициент, для шва, как самого слабого элемента георешетки, равный 53,75 кДж/(моль·МПа); σст - напряжение в стенке ячейки геотехнической решетки, вызываемое механическими нагрузками, МПа.
Произведение γ·σст представляет собой долю энергии, на которую механические напряжения, возникающие в материале, понижают потенциальный барьер разрыва химических связей полимера Ед.
Расчетная долговечность георешетки в годах τобщ при переменных значениях температуры зксплуатации tэ определяется по формуле:

где mi – число часов взаимодействия грунта со среднемесячной температурой tэ; mi sum – общее число часов взаимодействия грунта с переменными значениями tэ.
2. Пример расчета. Строительство лесной дороги с использованием георешетки «Комета» высотой 0,1 м на территории Трилесинского лесничества Сморгонского опытного лесхоза было завершено в ноябре 2005 года. Дорожная конструкция состоит из земляного полотна высотой в среднем 0,5 м и армированной георешеткой дорожной одежды из песчано-гравийной смеси толщиной 0,18 м.
При определении долговечности георешетки необходимо учесть эксплуатационные факторы, снижающие энергию активации материала георешетки и, тем самым, ее долговечность. К таким факторам относятся:
I. Воздействие жидкой фазы грунта выражается в эффекте адсорбционного понижения прочности полимера (эффекте Ребиндера), который означает облегчение деформации и разрушения твердого тела в результате протекания на его свободной поверхности обратимых физико-химических процессов, приводящих к понижению поверхностной энергии тела. Показатель Емв составляет 59 кДж/моль.
II. Кислотность грунтового массива. Преобладающие почвы в районе строительства дерново-подзолистые и дерново-подзолистые заболоченные, для таких почв показатель кислотности составляет по всему профилю рН = 3,6 – 5,5, а параметр ЕрН равен 8 кДж/моль.
III. Механические нагрузки:
а) статические нагрузки от собственного веса грунта определяются по формулам:

где γ0 – объемная масса грунта, равная для песчано-гравийной смеси 2,0 г/см3; z – глубина заложения георешетки (по ее верхнему краю), z = 0,08 м; ξ0 = μ0/(1 – μ0) – коэффициент бокового давления грунта в состоянии покоя; μ0 – коэффициент относительной поперечной деформации, аналогичный коэффициенту Пуассона, μ0 = 0,3;
б) дорожная конструкция воспринимает нагрузки от движущихся транспортных средств через упругие шины в очень короткое время – 0,1 с. В расчетах примем, что нагрузка воздействует постоянно и величина ее определяется по следующим зависимостям:

где q – расчетное давление, МПа; η = z/a, а – радиус круга, эквивалентного по площади отпечатку колеса, м. При вычислениях принята нагрузка с параметрами q = 0,6 МПа, а = 0,185 м расчетного автомобиля группы А.
Расчетами установлено, что величина суммарного воздействия статических и динамических нагрузок составляет σz = 0,565 МПа по оси Z и σy = 0,190 МПа по оси Y. Расчетное значение механических нагрузок σст принимается равным сумме σz и σy, т. е. 0,755 МПа.
Тогда произведение γ·σст будет составлять 53,75 · 0,755 = 40,6 кДж/моль.
В результате получим, что итоговое значение энергии активации Ед с учетом Емв, ЕрН и γ·σст составит 91,8 кДж/моль.
IV. Температура грунта дорожной одежды определяется по формуле:

где tair – температура воздуха, °С; tsoi – температура грунта на нижней границе системы «одежда – полотно», °С. Принимаем значения tsoi на глубине 0,8 м (поскольку общая высота дорожной конструкции составляет 0,7 м) и tair по каждому месяцу; Rsur – сопротивление теплопереходу покрытия, м2 · °С/Вт, принимаемое в расчетах в зависимости от скорости ветра, м/с. Значения скорости ветра по месяцам колеблются в пределах 2,6 – 3,7 м/с, а значения Rsur соответственно от 0,0765 до 0,084 м2 · °С/Вт; Rtot – общее тепловое сопротивление дорожной конструкции, м2 · °С/Вт.

где Rsc – тепловое сопротивление одежды,

где hi – толщина слоев одежды с коэффициентом теплопроводности λi, hi = 0,18 м. Для песчано-гравийной смеси λi = 2,61 Вт/(м · °С). Тогда Rsc = 0,069 м2 · °С/Вт; Rrb – тепловое сопротивление земляного полотна,

где hsi – толщина слоя грунта с коэффициентом теплопроводности λsi, на нижней границе которого принята температура tsoi. Поскольку промерзание грунта в лесу составляет 15 – 20 см, то значение λsi = 2,32 Вт/(м ·°С) примем для талого грунта. Тогда Rrb = 0.216 м2 ·°С/Вт;

Значения Rtot в зависимости от месяца колеблются в интервале 0,3615 – 0,3690 м2 ·°С/Вт.
Сведем данные по расчету tэ в табл.1.
Значения tair, tsoi и tэ по месяцам, °С.
Месяц | 1 | 2 | 3 | 4 | 5 | 6 | 7 | 8 | 9 | 10 | 11 | 12 |
tair | –6,8 | –6,3 | –2,4 | 3,9 | 11,0 | 15,6 | 18,1 | 16,3 | 11,4 | 5,8 | 0,2 | –4,6 |
tsoi | 1,7 | 0,4 | 0,5 | 3,8 | 9,7 | 15,3 | 18,1 | 17,3 | 14,6 | 10,1 | 5,0 | 2,4 |
tэ | –4,3 | –4,3 | –1,5 | 3,9 | 10,6 | 15,5 | 18,1 | 16,6 | 12,5 | 7,1 | 1,6 | –2,5 |
Расчет долговечности георешетки «Комета» при конкретных значениях tэ покажем в виде табл.2
Показа- тель |
Месяцы | |||||||||||
1 | 2 | 3 | 4 | 5 | 6 | 7 | 8 | 9 | 10 | 11 | 12 | |
Ед | 91,8 кДж/моль | |||||||||||
10αЕд+β
|
10 – 0,1661Ед + 2,590 = 2,41 · 10 – 37 ч | |||||||||||
mi, ч | 744 | 672 | 744 | 720 | 744 | 720 | 744 | 744 | 720 | 744 | 720 | 744 |
mi sum, ч | 8760 | |||||||||||
tэ, °C | –4.3 | –4.3 | –1.5 | 3.9 | 10,6 | 15,5 | 18,1 | 16,6 | 12,5 | 7,1 | 1,6 | –2,5 |
tэ, °К | 268,7 | 268,7 | 271,5 | 276,9 | 283,6 | 288,5 | 291,1 | 289,6 | 285,5 | 280,1 | 274,6 | 270,5 |
τiэ, лет | 431 | 431 | 282 | 128 | 50 | 26 | 18 | 22 | 38 | 81 | 178 | 328 |
Общая долговечность георешетки в конструкции лесной дороги, рассчитанная по формуле (4) на основе данных табл. 2, составит τобщ ≈ 54 года.
Заключение. Большая долговечность объемной георешетки «Комета» из полиэфира обусловлена:
1) химической природой полимера, высокой устойчивостью его химических связей к внешним воздействиям;
2) отсутствием УФ-излучения – самого опасного разрушающего фактора;
3) низкими температурами эксплуатации, а значительный период времени вообще отрицательными, когда полимер находится в «законсервированном» состоянии;
4) относительно небольшими механическими нагрузками.
Описанный выше способ позволяет определить долговечность в дорожной конструкции не только объемной георешетки, но и любого другого класса геосинтетических материалов, применяемых при строительстве лесных дорог. При этом методика расчета дает возможность комплексно учесть все основные эксплуатационные факторы, воздействию которых подвергается полимерный материал.
П. А. Лыщик, доцент.
С. В. Красковский, аспирант.
Н. Р. Прокопчук, профессор.